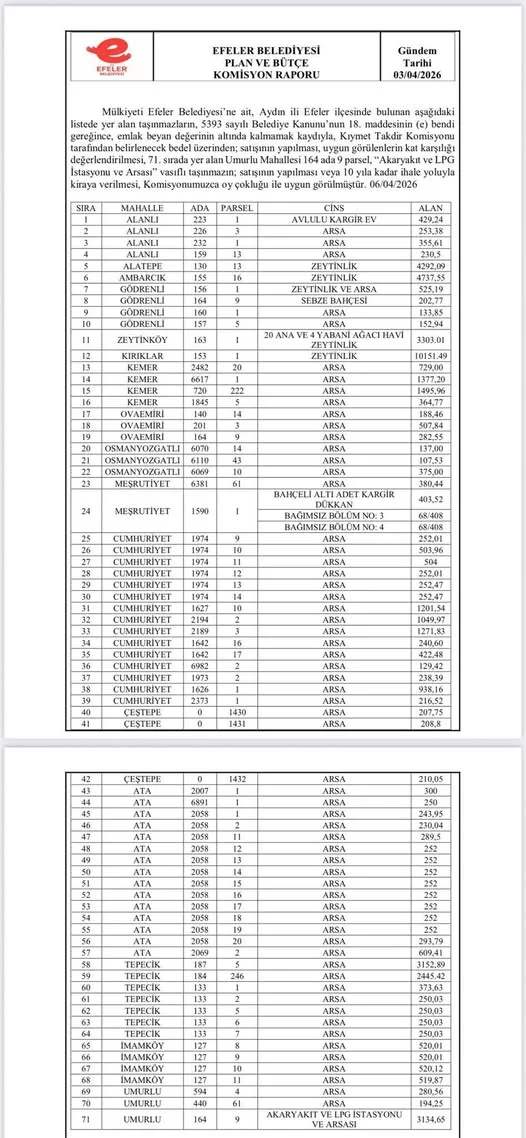
Efeler Belediyesi’ne ait taşınmazlarla ilgili Plan ve Bütçe Komisyonu’nun 3 Nisan’daki toplantısında hazırlanan rapora göre, belediyeye ait 71 taşınmazın emlak beyan değerinin altında kalmamak kaydıyla, Kıymet Takdir Komisyonu tarafından belirlenecek bedel üzerinden satışının yapılması kararlaştırıldı.
Satışı uygun görülen taşınmazlar arasında Cumhuriyet, Meşrutiyet, Ata, Kemer Osman Yozgatlı, Ovaeymir, Umurlu, Tepecik, İmamköy, Çeştepe, Alanlı, Gödrenli, Ambarcık, Zeytinköy ve Kırıklar mahallelerinde bulunan kevgir ev, arsa, zeytinlik, dükkan ve bağımsız bölümler yer alıyor. Umurlu Mahallesi 164 ada 9 parseldeki “Akaryakıt ve LPG İstasyonu ve Arsası” vasıflı taşınmaz için özel karar alındı; taşınmazın satışının yapılabileceği veya 10 yıla kadar ihale yoluyla kiraya verilebileceği ifade edildi. Plan ve Bütçe Komisyonu raporu, 6 Nisan 2026 tarihinde oy çokluğuyla uygun bulundu.
AK Parti Aydın İl Gençlik Kolları Başkanı Ömür Özipek, Efeler Belediyesi’nin taşınmaz satışı kararına tepki göstererek, belediyenin cenaze hizmetleri ve ilaçlama gibi temel hizmetlerde yetersiz kaldığını söyledi. Özipek, “Çözüm diye belediyenin taşınmazları satışa çıkarılıyor. Hizmet üretmeyen belediyeciliğin klasik sonucu: Yönetemeyince devret veya sat. Efeler hizmet bekliyor, belediye satış ilanı veriyor” ifadelerini kullandı.



